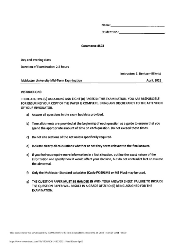
1 Which statement in Sedgwick’s hiring announcement is most likely an incorrect reference to the CFA Program or the CFA designation? The statementreferencing:A the skills the program cultivates.B the demands of the study program for the CFA designation.C her ability to manage investments and guide the process.2 Are the recommendations submitted to the board of directors most likely consistent wi
...[Show More]
1 Which statement in Sedgwick’s hiring announcement is most likely an incorrect reference to the CFA Program or the CFA designation? The statement
referencing:
A the skills the program cultivates.
B the demands of the study program for the CFA designation.
C her ability to manage investments and guide the process.
2 Are the recommendations submitted to the board of directors most likely consistent with the CFA Institute Recommended Procedures for Compliance with
Standard III(B): Fair Dealing?
A Yes
B No with regard to Recommendation 1
2020 Level II Mock Exam (A) AM 3
C No with regard to Recommendation 2
3 When considering the three points of Tao’s new policy as a whole, which CFA
Institute Standard of Professional Conduct is he most likely addressing?
A Standard VI: Conflict of Interest
B Standard II: Integrity of Capital Markets
C Standard V: Investment Analysis, Recommendations, and Actions
4 Did a violation of the CFA Institute Standards of Professional Conduct most
likely occur as a result of the SedgeFin promotional letter?
A No
B Yes, with regard to Standard VI: Conflicts of Interest
C Yes, with regard to Standard IV: Duties to Employers
5 Who has most likely violated the CFA Institute Standards of Professional
Conduct regarding the newspaper interview?
A Tao
B Johnson
C | Both Tao and Johnson
6 | In addition to being in violation of Standard IV(B): Additional Compensation
Arrangements, which other CFA Institute Standards of Professional Conduct
has Johnson most likely violated?A Standard IV(A): Loyalty
B Standard III(A): Loyalty, Prudence, and Care
C | Both Standard IV(A): Loyalty and Standard III(A): Loyalty, Prudence, and
Care
[Show Less]