EXAM REVIEW > AP BIOLOGY Big idea 4 IST

Tip: type at least 2 characters to see suggestions.

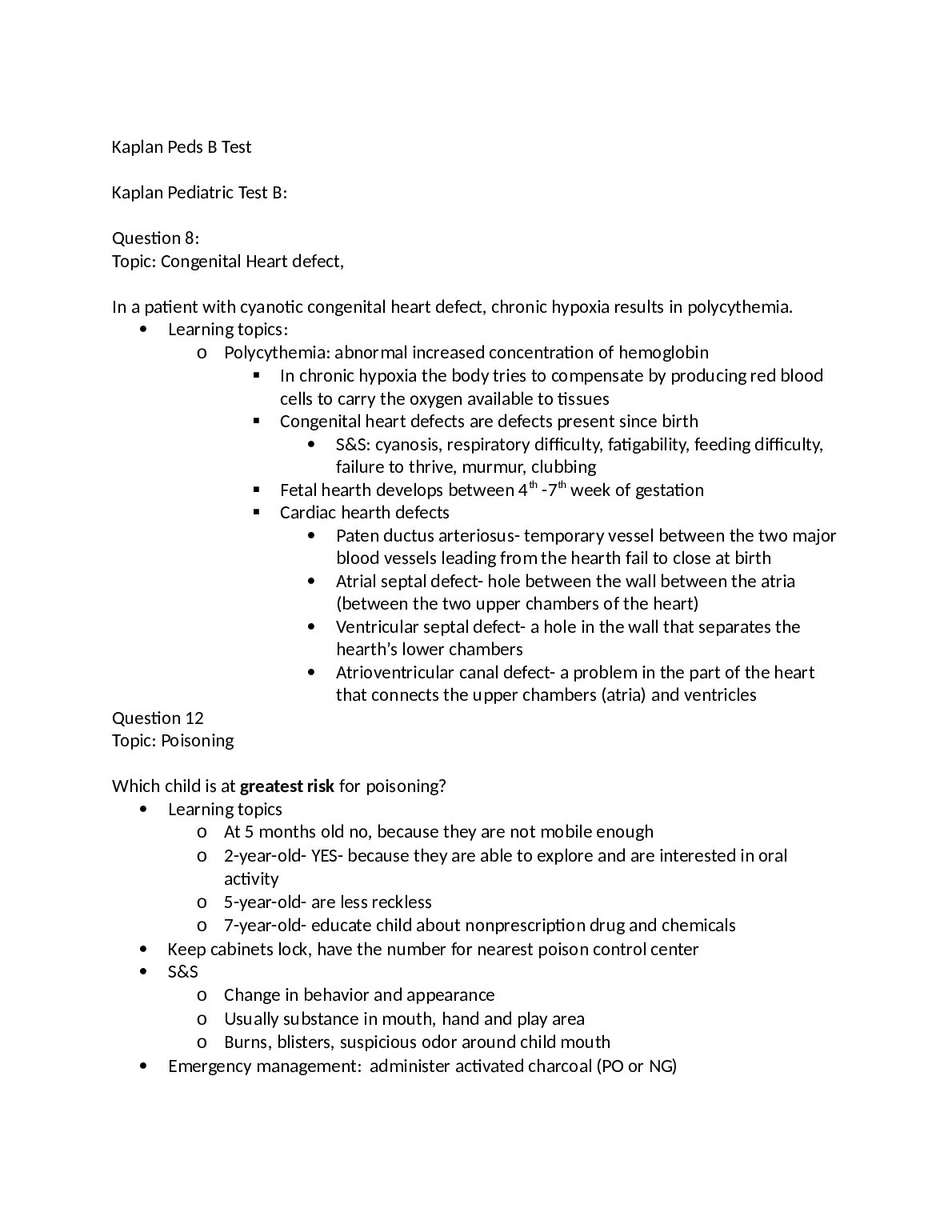
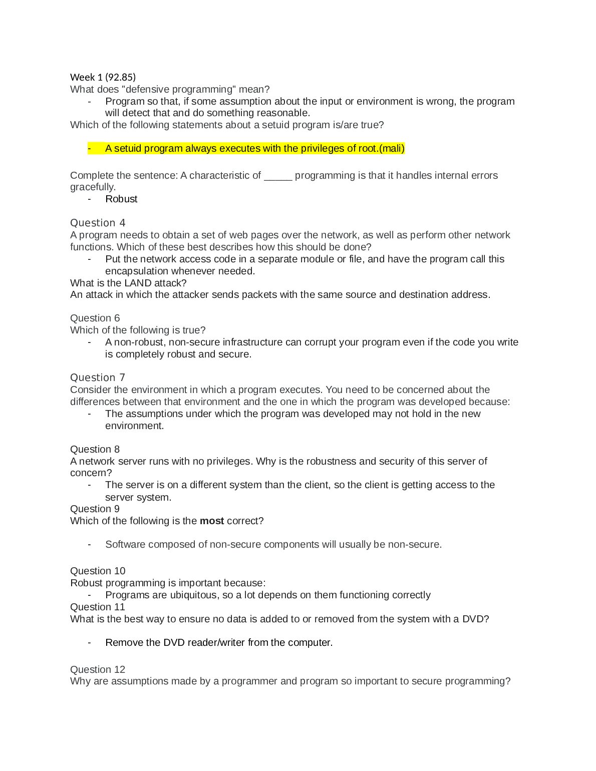
BASIS Independent Silicon Valley BIOLOGY 109 1. The relative amount of in a cell at various stages of the cell cycle is shown in Figure 1 . Figure 1. Amount of per cell during different stages of the cell cycle, relative to the beginning of the stage Which of the following best describes how the amount of in the cell changes during phase? (A) The amount of doubles as the is r ...[Show More]

Scholarfriends
STUDY SMARTER, GET BETTER GRADES WITH OUR PREMIUM RESOURCES.
Tip: shorter searches usually return better matches.
Searching Scholarfriends…
Preview 1 out of 65 pages
Purchase this document to unlock the blurred part and the rest of the document

Unlock Now

Reviews( 0 )

Unlock this Document

Purchase the document to unlock it.

$9.00

Unlock Now

18
3

Category:EXAM REVIEW
Number of pages:65
Language:English
Last updated:1 year ago
Downloads:3
Views:18

Can't Find what you want?

PLACE CUSTOM WRITING ORDER

Related documents

Get more on EXAM REVIEW »